前言
我们都知道HashMap在多线程情况下,在put的时候,插入的元素超过了容量(由负载因子决定)的范围就会触发扩容操作,就是rehash,这个会重新将原数组的内容重新hash到新的扩容数组中,在多线程的环境下,存在同时其他的元素也在进行put操作,如果hash值相同,可能出现同时在同一数组下用链表表示,造成闭环,导致在get时会出现死循环,HashMap是线程不安全的。
我们来了解另一个键值存储集合HashTable,它是线程安全的,它在所有涉及到多线程操作的都加上了synchronized关键字来锁住整个table,这就意味着所有的线程都在竞争一把锁,在多线程的环境下,它是安全的,但是无疑是效率低下的。
其实HashTable有很多的优化空间,锁住整个table这么粗暴的方法可以变相的柔和点,比如在多线程的环境下,对不同的数据集进行操作时其实根本就不需要去竞争一个锁,因为他们不同hash值,不会因为rehash造成线程不安全,所以互不影响,这就是锁分离技术,将锁的粒度降低,利用多个锁来控制多个小的table
ConcurrentHashMap
JDK1.7的实现
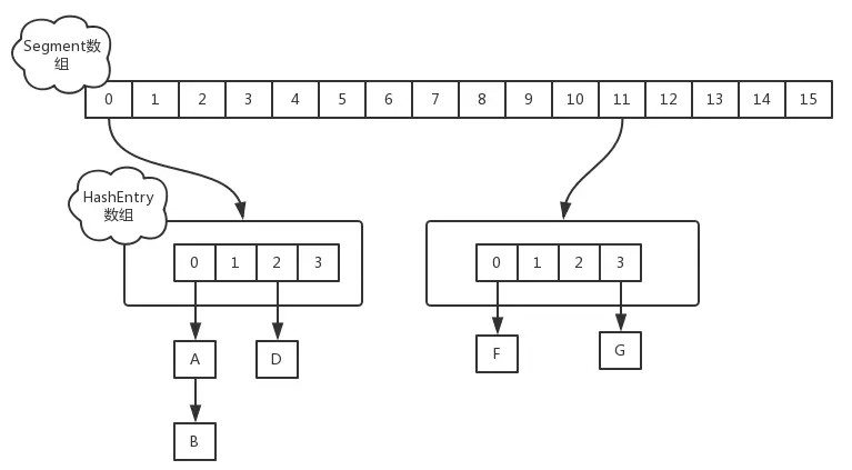
在JDK1.7版本中,ConcurrentHashMap的数据结构是由一个Segment数组和多个HashEntry组成,如下图所示:

Segment数组的意义就是将一个大的table分割成多个小的table来进行加锁,也就是上面的提到的锁分离技术,而每一个Segment元素存储的是HashEntry数组+链表,这个和HashMap的数据存储结构一样
Segment数组的意义就是将一个大的table分割成多个小的table来进行加锁,也就是上面的提到的锁分离技术,而每一个Segment元素存储的是HashEntry数组+链表,这个和HashMap的数据存储结构一样
初始化
ConcurrentHashMap的初始化是会通过位与运算来初始化Segment的大小,用size来表示,如下所示
int size =1;
while(size < concurrencyLevel) {
++a;
size <<=1;
}
如上所示,因为size用位于运算来计算( size <<=1 ),所以Segment的大小取值都是以2的N次方,无关concurrencyLevel的取值,当然concurrencyLevel最大只能用16位的二进制来表示,即65536,换句话说,Segment的大小最多65536个,没有指定concurrencyLevel元素初始化,Segment的大小size默认为16
每一个Segment元素下的HashEntry的初始化也是按照位于运算来计算,用cap来表示,如下所示
int cap =1;
while(cap < c)
cap <<=1;
如上所示,HashEntry大小的计算也是2的N次方(cap <<=1), cap的初始值为1,所以HashEntry最小的容量为2
put操作
对于ConcurrentHashMap的数据插入,这里要进行两次Hash去定位数据的存储位置
static class Segment<K,V> extends ReentrantLock implements Serializable {
}
从上Segment的继承体系可以看出,Segment实现了ReentrantLock,也就带有锁的功能,当执行put操作时,会进行第一次key的hash来定位Segment的位置,如果该Segment还没有初始化,即通过CAS操作进行赋值,然后进行第二次hash操作,找到相应的HashEntry的位置,这里会利用继承过来的锁的特性,在将数据插入指定的HashEntry位置时(链表的尾端),会通过继承ReentrantLock的tryLock()方法尝试去获取锁,如果获取成功就直接插入相应的位置,如果已经有线程获取该Segment的锁,那当前线程会以自旋的方式去继续的调用tryLock()方法去获取锁,超过指定次数就挂起,等待唤醒
get操作
ConcurrentHashMap的get操作跟HashMap类似,只是ConcurrentHashMap第一次需要经过一次hash定位到Segment的位置,然后再hash定位到指定的HashEntry,遍历该HashEntry下的链表进行对比,成功就返回,不成功就返回null
size操作
计算ConcurrentHashMap的元素大小是一个有趣的问题,因为他是并发操作的,就是在你计算size的时候,他还在并发的插入数据,可能会导致你计算出来的size和你实际的size有相差(在你return size的时候,插入了多个数据),要解决这个问题,JDK1.7版本用两种方案
for(;;) {
if(retries++ == RETRIES_BEFORE_LOCK) {
for(int j = 0 ; j < segments.length; ++j) ensureSegment(j).lock(); // force creation
}
sum = 0L;
size = 0 ;
overflow = false ;
for ( int j = 0 ; j < segments.length; ++j) {
Segment<K,V> seg = segmentAt(segments, j);
if (seg != null ) { sum += seg.modCount; int c = seg.count; if (c < 0 || (size += c) < 0 )
overflow = true ;
} }
if (sum == last) break ;
last = sum; } }
finally {
if (retries > RETRIES_BEFORE_LOCK) {
for ( int j = 0 ; j < segments.length; ++j)
segmentAt(segments, j).unlock();
}
}
- 第一种方案他会使用不加锁的模式去尝试多次计算ConcurrentHashMap的size,最多三次,比较前后两次计算的结果,结果一致就认为当前没有元素加入,计算的结果是准确的
- 第二种方案是如果第一种方案不符合,他就会给每个Segment加上锁,然后计算ConcurrentHashMap的size返回
JDK1.8的实现
JDK1.8的实现已经摒弃了Segment的概念,而是直接用Node数组+链表+红黑树的数据结构来实现,并发控制使用Synchronized和CAS来操作,整个看起来就像是优化过且线程安全的HashMap,虽然在JDK1.8中还能看到Segment的数据结构,但是已经简化了属性,只是为了兼容旧版本

说明:ConcurrentHashMap的数据结构(数组+链表+红黑树),桶中的结构可能是链表,也可能是红黑树,红黑树是为了提高查找效率。
在深入JDK1.8的put和get实现之前要知道一些常量设计和数据结构,这些是构成ConcurrentHashMap实现结构的基础,下面看一下基本属性:
// node数组最大容量:2^30=1073741824
private static final int MAXIMUM_CAPACITY = 1 << 30 ;
// 默认初始值,必须是2的幂数
private static final int DEFAULT_CAPACITY = 16 ;
//数组可能最大值,需要与toArray()相关方法关联
static final int MAX_ARRAY_SIZE = Integer.MAX_VALUE - 8 ;
//并发级别,遗留下来的,为兼容以前的版本
private static final int DEFAULT_CONCURRENCY_LEVEL = 16 ;
// 负载因子
private static final float LOAD_FACTOR = 0 .75f;
// 链表转红黑树阀值,> 8 链表转换为红黑树
static final int TREEIFY_THRESHOLD = 8 ;
//树转链表阀值,小于等于6(tranfer时,lc、hc=0两个计数器分别++记录原bin、新binTreeNode数量,<=UNTREEIFY_THRESHOLD 则untreeify(lo))
static final int UNTREEIFY_THRESHOLD = 6 ;
static final int MIN_TREEIFY_CAPACITY = 64 ;
private static final int MIN_TRANSFER_STRIDE = 16 ;
private static int RESIZE_STAMP_BITS = 16 ;
// 2^15-1,help resize的最大线程数
private static final int MAX_RESIZERS = ( 1 << ( 32 - RESIZE_STAMP_BITS)) - 1 ;
// 32-16=16,sizeCtl中记录size大小的偏移量
private static final int RESIZE_STAMP_SHIFT = 32 - RESIZE_STAMP_BITS;
// forwarding nodes的hash值
static final int MOVED = - 1 ;
// 树根节点的hash值
static final int TREEBIN = - 2 ;
// ReservationNode的hash值
static final int RESERVED = - 3 ;
// 可用处理器数量
static final int NCPU = Runtime.getRuntime().availableProcessors();
//存放node的数组
transient volatile Node<K,V>[] table;
/*控制标识符,用来控制table的初始化和扩容的操作,不同的值有不同的含义
*当为负数时:- 1 代表正在初始化,-N代表有N- 1 个线程正在 进行扩容
*当为 0 时:代表当时的table还没有被初始化
*当为正数时:表示初始化或者下一次进行扩容的大小
*/
private transient volatile int sizeCtl;
基本属性定义了ConcurrentHashMap的一些边界以及操作时的一些控制,下面看一些内部的一些结构组成,这些是整个ConcurrentHashMap整个数据结构的核心
Node
Node是ConcurrentHashMap存储结构的基本单元,继承于HashMap中的Entry,用于存储数据,源代码如下
static class Node<K,V> implements Map.Entry<K,V> {
//链表的数据结构
final int hash;
final K key;
//val和next都会在扩容时发生变化,所以加上volatile来保持可见性和禁止重排序
volatile V val;
volatile Node<K,V> next;
Node( int hash, K key, V val, Node<K,V> next) {
this .hash = hash;
this .key = key;
this .val = val;
this .next = next;
}
public final K getKey() { return key; }
public final V getValue() { return val; }
public final int hashCode() { return key.hashCode() ^ val.hashCode(); }
public final String toString(){ return key + "=" + val; }
//不允许更新value
public final V setValue(V value) {
throw new UnsupportedOperationException();
}
public final boolean equals(Object o) {
Object k, v, u; Map.Entry<?,?> e;
return ((o instanceof Map.Entry) &&
(k = (e = (Map.Entry<?,?>)o).getKey()) != null &&
(v = e.getValue()) != null &&
(k == key || k.equals(key)) &&
(v == (u = val) || v.equals(u)));
}
//用于map中的get()方法,子类重写
Node<K,V> find( int h, Object k) {
Node<K,V> e = this ;
if (k != null ) {
do {
K ek;
if (e.hash == h &&
((ek = e.key) == k || (ek != null && k.equals(ek))))
return e;
} while ((e = e.next) != null );
}
return null ;
}
}
Node数据结构很简单,从上可知,就是一个链表,但是只允许对数据进行查找,不允许进行修改
TreeNode
TreeNode继承与Node,但是数据结构换成了二叉树结构,它是红黑树的数据的存储结构,用于红黑树中存储数据,当链表的节点数大于8时会转换成红黑树的结构,他就是通过TreeNode作为存储结构代替Node来转换成黑红树源代码如下
static final class TreeNode<K,V> extends Node<K,V> {
//树形结构的属性定义
TreeNode<K,V> parent; // red-black tree links
TreeNode<K,V> left;
TreeNode<K,V> right;
TreeNode<K,V> prev; // needed to unlink next upon deletion
boolean red; //标志红黑树的红节点
TreeNode( int hash, K key, V val, Node<K,V> next,
TreeNode<K,V> parent) {
super (hash, key, val, next);
this .parent = parent;
}
Node<K,V> find( int h, Object k) {
return findTreeNode(h, k, null );
}
//根据key查找 从根节点开始找出相应的TreeNode,
final TreeNode<K,V> findTreeNode( int h, Object k, Class<?> kc) {
if (k != null ) {
TreeNode<K,V> p = this ;
do {
int ph, dir; K pk; TreeNode<K,V> q;
TreeNode<K,V> pl = p.left, pr = p.right;
if ((ph = p.hash) > h)
p = pl;
else if (ph < h)
p = pr;
else if ((pk = p.key) == k || (pk != null && k.equals(pk)))
return p;
else if (pl == null )
p = pr;
else if (pr == null )
p = pl;
else if ((kc != null ||
(kc = comparableClassFor(k)) != null ) &&
(dir = compareComparables(kc, k, pk)) != 0 )
p = (dir < 0 ) ? pl : pr;
else if ((q = pr.findTreeNode(h, k, kc)) != null )
return q;
else
p = pl;
} while (p != null );
}
return null ;
}
}
TreeBin
TreeBin从字面含义中可以理解为存储树形结构的容器,而树形结构就是指TreeNode,所以TreeBin就是封装TreeNode的容器,它提供转换黑红树的一些条件和锁的控制,部分源码结构如下
static final class TreeBin<K,V> extends Node<K,V> {
//指向TreeNode列表和根节点
TreeNode<K,V> root;
volatile TreeNode<K,V> first;
volatile Thread waiter;
volatile int lockState;
// 读写锁状态
static final int WRITER = 1 ; // 获取写锁的状态
static final int WAITER = 2 ; // 等待写锁的状态
static final int READER = 4 ; // 增加数据时读锁的状态
/**
* 初始化红黑树
*/
TreeBin(TreeNode<K,V> b) {
super (TREEBIN, null , null , null );
this .first = b;
TreeNode<K,V> r = null ;
for (TreeNode<K,V> x = b, next; x != null ; x = next) {
next = (TreeNode<K,V>)x.next;
x.left = x.right = null ;
if (r == null ) {
x.parent = null ;
x.red = false ;
r = x;
}
else {
K k = x.key;
int h = x.hash;
Class<?> kc = null ;
for (TreeNode<K,V> p = r;;) {
int dir, ph;
K pk = p.key;
if ((ph = p.hash) > h)
dir = - 1 ;
else if (ph < h)
dir = 1 ;
else if ((kc == null &&
(kc = comparableClassFor(k)) == null ) ||
(dir = compareComparables(kc, k, pk)) == 0 )
dir = tieBreakOrder(k, pk);
TreeNode<K,V> xp = p;
if ((p = (dir <= 0 ) ? p.left : p.right) == null ) {
x.parent = xp;
if (dir <= 0 )
xp.left = x;
else
xp.right = x;
r = balanceInsertion(r, x);
break ;
}
}
}
}
this .root = r;
assert checkInvariants(root);
}
......
}
介绍了ConcurrentHashMap主要的属性与内部的数据结构,现在通过一个简单的例子以debug的视角看看ConcurrentHashMap的具体操作细节
public class TestConcurrentHashMap{
public static void main(String[] args){
ConcurrentHashMap<String,String> map = new ConcurrentHashMap(); //初始化ConcurrentHashMap
//新增个人信息
map.put( "id" , "1" );
map.put( "name" , "andy" );
map.put( "sex" , "男" );
//获取姓名
String name = map.get( "name" );
Assert.assertEquals(name, "andy" );
//计算大小
int size = map.size();
Assert.assertEquals(size, 3 );
}
}
我们先通过 new ConcurrentHashMap() 来进行初始化
public ConcurrentHashMap() {
}
由上你会发现ConcurrentHashMap的初始化其实是一个空实现,并没有做任何事,这里后面会讲到,这也是和其他的集合类有区别的地方,初始化操作并不是在构造函数实现的,而是在put操作中实现,当然ConcurrentHashMap还提供了其他的构造函数,有指定容量大小或者指定负载因子,跟HashMap一样,这里就不做介绍了
put操作
在上面的例子中我们新增个人信息会调用put方法,我们来看下
public V put(K key, V value) {
return putVal(key, value, false );
}
/** Implementation for put and putIfAbsent */
final V putVal(K key, V value, boolean onlyIfAbsent) {
if (key == null || value == null ) throw new NullPointerException();
int hash = spread(key.hashCode()); //两次hash,减少hash冲突,可以均匀分布
int binCount = 0 ;
for (Node<K,V>[] tab = table;;) { //对这个table进行迭代
Node<K,V> f; int n, i, fh;
//这里就是上面构造方法没有进行初始化,在这里进行判断,为null就调用initTable进行初始化,属于懒汉模式初始化
if (tab == null || (n = tab.length) == 0 )
tab = initTable();
else if ((f = tabAt(tab, i = (n - 1 ) & hash)) == null ) { //如果i位置没有数据,就直接无锁插入
if (casTabAt(tab, i, null ,
new Node<K,V>(hash, key, value, null )))
break ; // no lock when adding to empty bin
}
else if ((fh = f.hash) == MOVED) //如果在进行扩容,则先进行扩容操作
tab = helpTransfer(tab, f);
else {
V oldVal = null ;
//如果以上条件都不满足,那就要进行加锁操作,也就是存在hash冲突,锁住链表或者红黑树的头结点
synchronized (f) {
if (tabAt(tab, i) == f) {
if (fh >= 0 ) { //表示该节点是链表结构
binCount = 1 ;
for (Node<K,V> e = f;; ++binCount) {
K ek;
//这里涉及到相同的key进行put就会覆盖原先的value
if (e.hash == hash &&
((ek = e.key) == key ||
(ek != null && key.equals(ek)))) {
oldVal = e.val;
if (!onlyIfAbsent)
e.val = value;
break ;
}
Node<K,V> pred = e;
if ((e = e.next) == null ) { //插入链表尾部
pred.next = new Node<K,V>(hash, key,
value, null );
break ;
}
}
}
else if (f instanceof TreeBin) { //红黑树结构
Node<K,V> p;
binCount = 2 ;
//红黑树结构旋转插入
if ((p = ((TreeBin<K,V>)f).putTreeVal(hash, key,
value)) != null ) {
oldVal = p.val;
if (!onlyIfAbsent)
p.val = value;
}
}
}
}
if (binCount != 0 ) { //如果链表的长度大于8时就会进行红黑树的转换
if (binCount >= TREEIFY_THRESHOLD)
treeifyBin(tab, i);
if (oldVal != null )
return oldVal;
break ;
}
}
}
addCount(1L, binCount); //统计size,并且检查是否需要扩容
return null ;
}
这个put的过程很清晰,对当前的table进行无条件自循环直到put成功,可以分成以下六步流程来概述
- 如果没有初始化就先调用initTable()方法来进行初始化过程
- 如果没有hash冲突就直接CAS插入
- 如果还在进行扩容操作就先进行扩容
- 如果存在hash冲突,就加锁来保证线程安全,这里有两种情况,一种是链表形式就直接遍历到尾端插入,一种是红黑树就按照红黑树结构插入,
- 最后一个如果Hash冲突时会形成Node链表,在链表长度超过8,Node数组超过64时会将链表结构转换为红黑树的结构,break再一次进入循环
- 如果添加成功就调用addCount()方法统计size,并且检查是否需要扩容
现在我们来对每一步的细节进行源码分析,在第一步中,符合条件会进行初始化操作,我们来看看initTable()方法
/**
* Initializes table, using the size recorded in sizeCtl.
*/
private final Node<K,V>[] initTable() {
Node<K,V>[] tab; int sc;
while ((tab = table) == null || tab.length == 0 ) { //空的table才能进入初始化操作
if ((sc = sizeCtl) < 0 ) //sizeCtl<0表示其他线程已经在初始化了或者扩容了,挂起当前线程
Thread.yield(); // lost initialization race; just spin
else if (U.compareAndSwapInt( this , SIZECTL, sc, - 1 )) { //CAS操作SIZECTL为-1,表示初始化状态
try {
if ((tab = table) == null || tab.length == 0 ) {
int n = (sc > 0 ) ? sc : DEFAULT_CAPACITY;
@SuppressWarnings ( "unchecked" )
Node<K,V>[] nt = (Node<K,V>[]) new Node<?,?>[n]; //初始化
table = tab = nt;
sc = n - (n >>> 2 ); //记录下次扩容的大小
}
} finally {
sizeCtl = sc;
}
break ;
}
}
return tab;
}
在第二步中没有hash冲突就直接调用Unsafe的方法CAS插入该元素,进入第三步如果容器正在扩容,则会调用helpTransfer()方法帮助扩容,现在我们跟进helpTransfer()方法看看
/**
*帮助从旧的table的元素复制到新的table中
*/
final Node<K,V>[] helpTransfer(Node<K,V>[] tab, Node<K,V> f) {
Node<K,V>[] nextTab; int sc;
if (tab != null && (f instanceof ForwardingNode) &&
(nextTab = ((ForwardingNode<K,V>)f).nextTable) != null ) { //新的table nextTba已经存在前提下才能帮助扩容
int rs = resizeStamp(tab.length);
while (nextTab == nextTable && table == tab &&
(sc = sizeCtl) < 0 ) {
if ((sc >>> RESIZE_STAMP_SHIFT) != rs || sc == rs + 1 ||
sc == rs + MAX_RESIZERS || transferIndex <= 0 )
break ;
if (U.compareAndSwapInt( this , SIZECTL, sc, sc + 1 )) {
transfer(tab, nextTab); //调用扩容方法
break ;
}
}
return nextTab;
}
return table;
}
其实helpTransfer()方法的目的就是调用多个工作线程一起帮助进行扩容,这样的效率就会更高,而不是只有检查到要扩容的那个线程进行扩容操作,其他线程就要等待扩容操作完成才能工作
既然这里涉及到扩容的操作,我们也一起来看看扩容方法transfer()
private final void transfer(Node<K,V>[] tab, Node<K,V>[] nextTab) {
int n = tab.length, stride;
// 每核处理的量小于16,则强制赋值16
if ((stride = (NCPU > 1 ) ? (n >>> 3 ) / NCPU : n) < MIN_TRANSFER_STRIDE)
stride = MIN_TRANSFER_STRIDE; // subdivide range
if (nextTab == null ) { // initiating
try {
@SuppressWarnings ( "unchecked" )
Node<K,V>[] nt = (Node<K,V>[]) new Node<?,?>[n << 1 ]; //构建一个nextTable对象,其容量为原来容量的两倍
nextTab = nt;
} catch (Throwable ex) { // try to cope with OOME
sizeCtl = Integer.MAX_VALUE;
return ;
}
nextTable = nextTab;
transferIndex = n;
}
int nextn = nextTab.length;
// 连接点指针,用于标志位(fwd的hash值为-1,fwd.nextTable=nextTab)
ForwardingNode<K,V> fwd = new ForwardingNode<K,V>(nextTab);
// 当advance == true时,表明该节点已经处理过了
boolean advance = true ;
boolean finishing = false ; // to ensure sweep before committing nextTab
for ( int i = 0 , bound = 0 ;;) {
Node<K,V> f; int fh;
// 控制 --i ,遍历原hash表中的节点
while (advance) {
int nextIndex, nextBound;
if (--i >= bound || finishing)
advance = false ;
else if ((nextIndex = transferIndex) <= 0 ) {
i = - 1 ;
advance = false ;
}
// 用CAS计算得到的transferIndex
else if (U.compareAndSwapInt
( this , TRANSFERINDEX, nextIndex,
nextBound = (nextIndex > stride ?
nextIndex - stride : 0 ))) {
bound = nextBound;
i = nextIndex - 1 ;
advance = false ;
}
}
if (i < 0 || i >= n || i + n >= nextn) {
int sc;
// 已经完成所有节点复制了
if (finishing) {
nextTable = null ;
table = nextTab; // table 指向nextTable
sizeCtl = (n << 1 ) - (n >>> 1 ); // sizeCtl阈值为原来的1.5倍
return ; // 跳出死循环,
}
// CAS 更扩容阈值,在这里面sizectl值减一,说明新加入一个线程参与到扩容操作
if (U.compareAndSwapInt( this , SIZECTL, sc = sizeCtl, sc - 1 )) {
if ((sc - 2 ) != resizeStamp(n) << RESIZE_STAMP_SHIFT)
return ;
finishing = advance = true ;
i = n; // recheck before commit
}
}
// 遍历的节点为null,则放入到ForwardingNode 指针节点
else if ((f = tabAt(tab, i)) == null )
advance = casTabAt(tab, i, null , fwd);
// f.hash == -1 表示遍历到了ForwardingNode节点,意味着该节点已经处理过了
// 这里是控制并发扩容的核心
else if ((fh = f.hash) == MOVED)
advance = true ; // already processed
else {
// 节点加锁
synchronized (f) {
// 节点复制工作
if (tabAt(tab, i) == f) {
Node<K,V> ln, hn;
// fh >= 0 ,表示为链表节点
if (fh >= 0 ) {
// 构造两个链表 一个是原链表 另一个是原链表的反序排列
int runBit = fh & n;
Node<K,V> lastRun = f;
for (Node<K,V> p = f.next; p != null ; p = p.next) {
int b = p.hash & n;
if (b != runBit) {
runBit = b;
lastRun = p;
}
}
if (runBit == 0 ) {
ln = lastRun;
hn = null ;
}
else {
hn = lastRun;
ln = null ;
}
for (Node<K,V> p = f; p != lastRun; p = p.next) {
int ph = p.hash; K pk = p.key; V pv = p.val;
if ((ph & n) == 0 )
ln = new Node<K,V>(ph, pk, pv, ln);
else
hn = new Node<K,V>(ph, pk, pv, hn);
}
// 在nextTable i 位置处插上链表
setTabAt(nextTab, i, ln);
// 在nextTable i + n 位置处插上链表
setTabAt(nextTab, i + n, hn);
// 在table i 位置处插上ForwardingNode 表示该节点已经处理过了
setTabAt(tab, i, fwd);
// advance = true 可以执行--i动作,遍历节点
advance = true ;
}
// 如果是TreeBin,则按照红黑树进行处理,处理逻辑与上面一致
else if (f instanceof TreeBin) {
TreeBin<K,V> t = (TreeBin<K,V>)f;
TreeNode<K,V> lo = null , loTail = null ;
TreeNode<K,V> hi = null , hiTail = null ;
int lc = 0 , hc = 0 ;
for (Node<K,V> e = t.first; e != null ; e = e.next) {
int h = e.hash;
TreeNode<K,V> p = new TreeNode<K,V>
(h, e.key, e.val, null , null );
if ((h & n) == 0 ) {
if ((p.prev = loTail) == null )
lo = p;
else
loTail.next = p;
loTail = p;
++lc;
}
else {
if ((p.prev = hiTail) == null )
hi = p;
else
hiTail.next = p;
hiTail = p;
++hc;
}
}
// 扩容后树节点个数若<=6,将树转链表
ln = (lc <= UNTREEIFY_THRESHOLD) ? untreeify(lo) :
(hc != 0 ) ? new TreeBin<K,V>(lo) : t;
hn = (hc <= UNTREEIFY_THRESHOLD) ? untreeify(hi) :
(lc != 0 ) ? new TreeBin<K,V>(hi) : t;
setTabAt(nextTab, i, ln);
setTabAt(nextTab, i + n, hn);
setTabAt(tab, i, fwd);
advance = true ;
}
}
}
}
}
}
其实helpTransfer()方法的目的就是调用多个工作线程一起帮助进行扩容,这样的效率就会更高,而不是只有检查到要扩容的那个线程进行扩容操作,其他线程就要等待扩容操作完成才能工作
既然这里涉及到扩容的操作,我们也一起来看看扩容方法transfer()
private final void transfer(Node<K,V>[] tab, Node<K,V>[] nextTab) {
int n = tab.length, stride;
// 每核处理的量小于16,则强制赋值16
if ((stride = (NCPU > 1 ) ? (n >>> 3 ) / NCPU : n) < MIN_TRANSFER_STRIDE)
stride = MIN_TRANSFER_STRIDE; // subdivide range
if (nextTab == null ) { // initiating
try {
@SuppressWarnings ( "unchecked" )
Node<K,V>[] nt = (Node<K,V>[]) new Node<?,?>[n << 1 ]; //构建一个nextTable对象,其容量为原来容量的两倍
nextTab = nt;
} catch (Throwable ex) { // try to cope with OOME
sizeCtl = Integer.MAX_VALUE;
return ;
}
nextTable = nextTab;
transferIndex = n;
}
int nextn = nextTab.length;
// 连接点指针,用于标志位(fwd的hash值为-1,fwd.nextTable=nextTab)
ForwardingNode<K,V> fwd = new ForwardingNode<K,V>(nextTab);
// 当advance == true时,表明该节点已经处理过了
boolean advance = true ;
boolean finishing = false ; // to ensure sweep before committing nextTab
for ( int i = 0 , bound = 0 ;;) {
Node<K,V> f; int fh;
// 控制 --i ,遍历原hash表中的节点
while (advance) {
int nextIndex, nextBound;
if (--i >= bound || finishing)
advance = false ;
else if ((nextIndex = transferIndex) <= 0 ) {
i = - 1 ;
advance = false ;
}
// 用CAS计算得到的transferIndex
else if (U.compareAndSwapInt
( this , TRANSFERINDEX, nextIndex,
nextBound = (nextIndex > stride ?
nextIndex - stride : 0 ))) {
bound = nextBound;
i = nextIndex - 1 ;
advance = false ;
}
}
if (i < 0 || i >= n || i + n >= nextn) {
int sc;
// 已经完成所有节点复制了
if (finishing) {
nextTable = null ;
table = nextTab; // table 指向nextTable
sizeCtl = (n << 1 ) - (n >>> 1 ); // sizeCtl阈值为原来的1.5倍
return ; // 跳出死循环,
}
// CAS 更扩容阈值,在这里面sizectl值减一,说明新加入一个线程参与到扩容操作
if (U.compareAndSwapInt( this , SIZECTL, sc = sizeCtl, sc - 1 )) {
if ((sc - 2 ) != resizeStamp(n) << RESIZE_STAMP_SHIFT)
return ;
finishing = advance = true ;
i = n; // recheck before commit
}
}
// 遍历的节点为null,则放入到ForwardingNode 指针节点
else if ((f = tabAt(tab, i)) == null )
advance = casTabAt(tab, i, null , fwd);
// f.hash == -1 表示遍历到了ForwardingNode节点,意味着该节点已经处理过了
// 这里是控制并发扩容的核心
else if ((fh = f.hash) == MOVED)
advance = true ; // already processed
else {
// 节点加锁
synchronized (f) {
// 节点复制工作
if (tabAt(tab, i) == f) {
Node<K,V> ln, hn;
// fh >= 0 ,表示为链表节点
if (fh >= 0 ) {
// 构造两个链表 一个是原链表 另一个是原链表的反序排列
int runBit = fh & n;
Node<K,V> lastRun = f;
for (Node<K,V> p = f.next; p != null ; p = p.next) {
int b = p.hash & n;
if (b != runBit) {
runBit = b;
lastRun = p;
}
}
if (runBit == 0 ) {
ln = lastRun;
hn = null ;
}
else {
hn = lastRun;
ln = null ;
}
for (Node<K,V> p = f; p != lastRun; p = p.next) {
int ph = p.hash; K pk = p.key; V pv = p.val;
if ((ph & n) == 0 )
ln = new Node<K,V>(ph, pk, pv, ln);
else
hn = new Node<K,V>(ph, pk, pv, hn);
}
// 在nextTable i 位置处插上链表
setTabAt(nextTab, i, ln);
// 在nextTable i + n 位置处插上链表
setTabAt(nextTab, i + n, hn);
// 在table i 位置处插上ForwardingNode 表示该节点已经处理过了
setTabAt(tab, i, fwd);
// advance = true 可以执行--i动作,遍历节点
advance = true ;
}
// 如果是TreeBin,则按照红黑树进行处理,处理逻辑与上面一致
else if (f instanceof TreeBin) {
TreeBin<K,V> t = (TreeBin<K,V>)f;
TreeNode<K,V> lo = null , loTail = null ;
TreeNode<K,V> hi = null , hiTail = null ;
int lc = 0 , hc = 0 ;
for (Node<K,V> e = t.first; e != null ; e = e.next) {
int h = e.hash;
TreeNode<K,V> p = new TreeNode<K,V>
(h, e.key, e.val, null , null );
if ((h & n) == 0 ) {
if ((p.prev = loTail) == null )
lo = p;
else
loTail.next = p;
loTail = p;
++lc;
}
else {
if ((p.prev = hiTail) == null )
hi = p;
else
hiTail.next = p;
hiTail = p;
++hc;
}
}
// 扩容后树节点个数若<=6,将树转链表
ln = (lc <= UNTREEIFY_THRESHOLD) ? untreeify(lo) :
(hc != 0 ) ? new TreeBin<K,V>(lo) : t;
hn = (hc <= UNTREEIFY_THRESHOLD) ? untreeify(hi) :
(lc != 0 ) ? new TreeBin<K,V>(hi) : t;
setTabAt(nextTab, i, ln);
setTabAt(nextTab, i + n, hn);
setTabAt(tab, i, fwd);
advance = true ;
}
}
}
}
}
}
扩容过程有点复杂,这里主要涉及到多线程并发扩容,ForwardingNode的作用就是支持扩容操作,将已处理的节点和空节点置为ForwardingNode,并发处理时多个线程经过ForwardingNode就表示已经遍历了,就往后遍历,下图是多线程合作扩容的过程:

介绍完扩容过程,我们再次回到put流程,在第四步中是向链表或者红黑树里加节点,到第五步,会调用treeifyBin()方法进行链表转红黑树的过程
private final void treeifyBin(Node<K,V>[] tab, int index) {
Node<K,V> b; int n, sc;
if (tab != null ) {
//如果整个table的数量小于64,就扩容至原来的一倍,不转红黑树了
//因为这个阈值扩容可以减少hash冲突,不必要去转红黑树
if ((n = tab.length) < MIN_TREEIFY_CAPACITY)
tryPresize(n << 1 );
else if ((b = tabAt(tab, index)) != null && b.hash >= 0 ) {
synchronized (b) {
if (tabAt(tab, index) == b) {
TreeNode<K,V> hd = null , tl = null ;
for (Node<K,V> e = b; e != null ; e = e.next) {
//封装成TreeNode
TreeNode<K,V> p =
new TreeNode<K,V>(e.hash, e.key, e.val,
null , null );
if ((p.prev = tl) == null )
hd = p;
else
tl.next = p;
tl = p;
}
//通过TreeBin对象对TreeNode转换成红黑树
setTabAt(tab, index, new TreeBin<K,V>(hd));
}
}
}
}
}
到第六步表示已经数据加入成功了,现在调用addCount()方法计算ConcurrentHashMap的size,在原来的基础上加一,现在来看看addCount()方法
private final void addCount( long x, int check) {
CounterCell[] as; long b, s;
//更新baseCount,table的数量,counterCells表示元素个数的变化
if ((as = counterCells) != null ||
!U.compareAndSwapLong( this , BASECOUNT, b = baseCount, s = b + x)) {
CounterCell a; long v; int m;
boolean uncontended = true ;
//如果多个线程都在执行,则CAS失败,执行fullAddCount,全部加入count
if (as == null || (m = as.length - 1 ) < 0 ||
(a = as[ThreadLocalRandom.getProbe() & m]) == null ||
!(uncontended =
U.compareAndSwapLong(a, CELLVALUE, v = a.value, v + x))) {
fullAddCount(x, uncontended);
return ;
}
if (check <= 1 )
return ;
s = sumCount();
}
//check>=0表示需要进行扩容操作
if (check >= 0 ) {
Node<K,V>[] tab, nt; int n, sc;
while (s >= ( long )(sc = sizeCtl) && (tab = table) != null &&
(n = tab.length) < MAXIMUM_CAPACITY) {
int rs = resizeStamp(n);
if (sc < 0 ) {
if ((sc >>> RESIZE_STAMP_SHIFT) != rs || sc == rs + 1 ||
sc == rs + MAX_RESIZERS || (nt = nextTable) == null ||
transferIndex <= 0 )
break ;
if (U.compareAndSwapInt( this , SIZECTL, sc, sc + 1 ))
transfer(tab, nt);
}
//当前线程发起库哦哦让操作,nextTable=null
else if (U.compareAndSwapInt( this , SIZECTL, sc,
(rs << RESIZE_STAMP_SHIFT) + 2 ))
transfer(tab, null );
s = sumCount();
}
}
}
put的流程现在已经分析完了,你可以从中发现,他在并发处理中使用的是乐观锁,当有冲突的时候才进行并发处理,而且流程步骤很清晰,但是细节设计的很复杂,毕竟多线程的场景也复杂
get操作
我们现在要回到开始的例子中,我们对个人信息进行了新增之后,我们要获取所新增的信息,使用String name = map.get(“name”)获取新增的name信息,现在我们依旧用debug的方式来分析下ConcurrentHashMap的获取方法get()
public V get(Object key) {
Node<K,V>[] tab; Node<K,V> e, p; int n, eh; K ek;
int h = spread(key.hashCode()); //计算两次hash
if ((tab = table) != null && (n = tab.length) > 0 &&
(e = tabAt(tab, (n - 1 ) & h)) != null ) { //读取首节点的Node元素
if ((eh = e.hash) == h) { //如果该节点就是首节点就返回
if ((ek = e.key) == key || (ek != null && key.equals(ek)))
return e.val;
}
//hash值为负值表示正在扩容,这个时候查的是ForwardingNode的find方法来定位到nextTable来
//查找,查找到就返回
else if (eh < 0 )
return (p = e.find(h, key)) != null ? p.val : null ;
while ((e = e.next) != null ) { //既不是首节点也不是ForwardingNode,那就往下遍历
if (e.hash == h &&
((ek = e.key) == key || (ek != null && key.equals(ek))))
return e.val;
}
}
return null ;
}
ConcurrentHashMap的get操作的流程很简单,也很清晰,可以分为三个步骤来描述
- 计算hash值,定位到该table索引位置,如果是首节点符合就返回
- 如果遇到扩容的时候,会调用标志正在扩容节点ForwardingNode的find方法,查找该节点,匹配就返回
- 以上都不符合的话,就往下遍历节点,匹配就返回,否则最后就返回null
size操作
最后我们来看下例子中最后获取size的方式int size = map.size();,现在让我们看下size()方法
public int size() {
long n = sumCount();
return ((n < 0L) ? 0 :
(n > ( long )Integer.MAX_VALUE) ? Integer.MAX_VALUE :
( int )n);
}
final long sumCount() {
CounterCell[] as = counterCells; CounterCell a; //变化的数量
long sum = baseCount;
if (as != null ) {
for ( int i = 0 ; i < as.length; ++i) {
if ((a = as[i]) != null )
sum += a.value;
}
}
return sum;
}
在JDK1.8版本中,对于size的计算,在扩容和addCount()方法就已经有处理了,JDK1.7是在调用size()方法才去计算,其实在并发集合中去计算size是没有多大的意义的,因为size是实时在变的,只能计算某一刻的大小,但是某一刻太快了,人的感知是一个时间段,所以并不是很精确
总结与思考
其实可以看出JDK1.8版本的ConcurrentHashMap的数据结构已经接近HashMap,相对而言,ConcurrentHashMap只是增加了同步的操作来控制并发,从JDK1.7版本的ReentrantLock+Segment+HashEntry,到JDK1.8版本中synchronized+CAS+HashEntry+红黑树,相对而言,总结如下思考
- JDK1.8的实现降低锁的粒度,JDK1.7版本锁的粒度是基于Segment的,包含多个HashEntry,而JDK1.8锁的粒度就是HashEntry(首节点)
- JDK1.8版本的数据结构变得更加简单,使得操作也更加清晰流畅,因为已经使用synchronized来进行同步,所以不需要分段锁的概念,也就不需要Segment这种数据结构了,由于粒度的降低,实现的复杂度也增加了
- JDK1.8使用红黑树来优化链表,基于长度很长的链表的遍历是一个很漫长的过程,而红黑树的遍历效率是很快的,代替一定阈值的链表,这样形成一个最佳拍档
- JDK1.8为什么使用内置锁synchronized来代替重入锁ReentrantLock,我觉得有以下几点
- 因为粒度降低了,在相对而言的低粒度加锁方式,synchronized并不比ReentrantLock差,在粗粒度加锁中ReentrantLock可能通过Condition来控制各个低粒度的边界,更加的灵活,而在低粒度中,Condition的优势就没有了
- JVM的开发团队从来都没有放弃synchronized,而且基于JVM的synchronized优化空间更大,使用内嵌的关键字比使用API更加自然
- 在大量的数据操作下,对于JVM的内存压力,基于API的ReentrantLock会开销更多的内存,虽然不是瓶颈,但是也是一个选择依据